肿瘤的精准治疗是当前研究热点,而肿瘤疗效的早期预测,可为治疗方案的制定提供参考,对肿瘤的精准治疗至关重要。
大多数肿瘤疗效评估方法是借助结构成像技术,通过肿瘤形态学变化对肿瘤疗效进行评判。然而这种方法有明显的局限性,肿瘤形态学的变化滞后于肿瘤细胞的生理变化。放化疗后,肿瘤形态的改变比肿瘤细胞生理的变化晚1—3个月,因此很难借助结构成像技术实现肿瘤疗效早期预测。近年来,随着分子功能成像的快速发展,动态增强磁共振成像(DynamicContrast-EnhancedMagneticResonanceImaging,DCE-MRI)等成像方法可获得肿瘤生理参数信息,通过监测生理参数变化情况,有望在肿瘤形态变化之前对治疗效果进预测。以软组织肉瘤为例,由于其生长具有血管依赖性,利用DCE-MRI对血流灌注检测灵敏度高的特性,可获取肿瘤区域血流灌注参数变化情况。
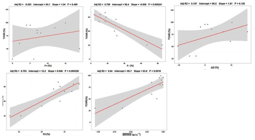
中国科学院苏州生物医学工程技术研究所医学影像室高欣、夏威等以软组织肉瘤为实验对象,开展了肿瘤疗效早期预测的可行性研究,提出了用于肿瘤疗效早期预测的DCE-MRI容积转移常数体素分析方法。研究利用放化疗前与放化疗早期软组织肉瘤患者的DCE-MRI影像数据,以及放化疗结束后手术病理确认得到的肿瘤细胞坏死率(TumorCellNecrosisRate,TCNR),TCNR越大则疗效越好。将TCNR≥95%的病例定义为治疗效果良好,TCNR95%的病例定义为治疗效果不佳。利用三维图像弹性配准技术将放化疗前与放化疗早期的DCE-MRI影像对齐,然后采用药代动力学建模方法构建基于体素的Ktrans变化图,根据Ktrans变化图采用统计学方法计算肿瘤区域Ktrans显著增加、显著减少和无明显变化的体积分数,将这三个体积分数作为疗效的预测指标,使用ROC曲线分析评估体积分数作为疗效早期预测指标的效果,并采用线性回归分析体积分数与肿瘤细胞坏死率之间的线性关系。此外,该研究对比了肿瘤及正常组织各区域的Ktrans的变化情况,分析了所得结果的可能原因。
实验结果表明,研究人员提出的方法生成的体积分数F-和F0的疗效预测能力优于肿瘤最长径的改变量和肿瘤区域Ktrans的平均改变量等传统的肿瘤疗效评估指标,且F-和F0与TCNR具有较强的线性关系,F-越小或F0越大则TCNR越大,治疗效果越好。实验结果可由肿瘤血管正常化理论解释,具有较好的临床意义。
研究结果发表在EuropeanJournalofRadiology上。该研究工作得到了国家自然科学基金等的资助。

图1.Ktrans显著增加和无明显变化的三类体素的分布图及Ktrans变化散点图。第一行是治疗效果良好的病例,第二行是治疗效果不佳的病例。a,c:三类体素的分布图;b,d:Ktrans变化散点图;红线表示y=x,黑线分别代表y=x+0.32和y=x-0.31。

图2.不同疗效病例的体素分布图。由a到d,F0依次减少,F-依次增加,TCNR依次减少,疗效依次降低。a:TCNR95%,F0=85%,F-=11%;b:TCNR=85%,F0=63%,F-=30%;c:TCNR=50%,F0=50%,F-=31%;d:TCNR=30%,F0=27%,F-=67%.

图3.预测指标与TCNR的线性回归结果。红线为回归直线,阴影区域为回归结果的95%置信区间。相对于其他预测指标,F0和F-的散点更加集中分布于回归直线附近,且回归系数更大,说明F0和F-与TCNR的线性关系更强。
http://www.sciencedirect.com/science/article/pii/S3406
辉瑞克唑替尼一线治疗ALK阳性NSCLC临床III期OS未达标
美国制药巨头辉瑞近日公布了靶向抗癌药Xalkori一线治疗ALK阳性晚期非小细胞肺癌的III期临床研究PROFILE1014的最终总生存期数据。这是来自ALK阳性NSCLC患者群体随机III期研究长期生存预后的首批前瞻性数据,这些数据为深入了解最佳治疗方案提供了依据。该研究中,最初随机分配至化疗组的患者中,大部分患者在病情进展后转向了Xalkori治疗,而这可能影响了最终的OS结果。此前,辉瑞已公布了主要终点PFS的结果,数据显示,与化疗组相比,Xalkori治疗组在PFS方面实现统计学显著改善,相关研究
0评论2025-10-074
白血病患儿化疗间期能回老家吗?
如果准备带孩子回家乡,吴大夫对家长们有以下几点温馨提示:一、咨询主管医生化疗的哪一阶段适合返乡有些强化疗结束后,定期监测患儿的血常规会发现,白细胞、血红蛋白、血小板在逐渐降低,我们俗称为“掉血象”,这是因为大部分化疗药物都有轻重不等的骨髓抑制反应。家长们在打算带孩子回家乡前,应该找主管医生咨询一下,在化疗的哪一个阶段回去最安全,多听听专家们的意见。二、确保在血常规基本正常的情况下回去孩子们在血常规基本正常的时候,发生感染、出血的风险性相对较低,这个时候带孩子回家乡是相对安全的。四、一旦发生发热等意外情况时
0评论2025-10-064
中医大咖话肿瘤:带瘤生存也能活得好
中医抗癌优势在哪中国工程院的院士、中国医学科学院肿瘤医院教授孙燕是知名西医肿瘤专家,他对中医治疗肿瘤另眼相看,“中医特别高明的地方,就是注重扶正。”在防治肿瘤方面,中西医存在着优势互补的方面,中医药在治疗肿瘤中对减轻现代西医治疗的毒副反应,提高免疫和调整脏腑多器官机能,对放化疗、免疫治疗的增敏增效,减少复发和转移、延长生存期和改善生活质量都发挥了重要作用。不光祛邪,患者本来就虚,得了肿瘤以后更虚,用了放化疗后虚上加虚,扶正治疗一定要坚持。他说,中医中药治疗肿瘤还不能全部治好,不是说中医中药治不好,而是中医
0评论2025-10-047
ADRO开展ADU-S100与诺华PDR001联用治疗实体瘤试验
ADRO首席医疗官NatalieSacks说:“我们很高兴将对我们的ADU-S100药物进行剂量递增试验,并期待探讨ADU-S100与诺华的PDR001联用对于患者的安全性和有效性。将要开展的ADU-S100/PDR100的Ib期临床试验是一项多中心、开放标签的研究,旨在评估ADU-S100和PDR100联用治疗实体瘤或淋巴瘤患者的安全性和有效性。该项临床试验将评估公司旗下ADU-S100与诺华PD-1检查点抑制剂PDR001联用用于治疗晚期/转移性实体瘤或淋巴瘤。”ADRO有多种在研的STING通路激动
0评论2025-10-0313
艾伯维与Turnstone Biologics达成新型溶瘤病毒免疫疗法全球合作
10月10日,跨国制药公司艾伯维与癌症免疫疗法处于临床阶段的生物公司TurnstoneBiologics表示,双方已经就TurnstoneBiologics公司的3款新一代的癌症溶瘤病毒疗法药物达成了一项排他性的研发、许可及选择权协议,艾伯维制药将拥有这3款候选药物的全球独家选择权。”根据本次合作协议,艾伯维将获得Turnstone公司Ad-MG1-MAGEA3疗法项目的全球开发及商业化权益选择权,目前这些项目正处在多种实体瘤治疗的单药或与已上市抗PD-1抑制剂联用的临床1/2试验研究阶段,合作协议将同时
0评论2025-10-0216
肿瘤的斯德哥尔摩综合症
作者发现四种不同BRAFV600E变异恶黑肿瘤细胞用BRAF抑制剂dabrafenib和MEK抑制剂trametinib处理3-5个月后出现耐药株,但如果突然停止用药这些耐药株会大量死亡,说明这些肿瘤细胞对BRAF和MEK抑制剂产生依赖。这个研究主要使用了体外诱导耐药,但临床上也时有对肿瘤药物依赖报道。两个月以前Sloan的科学家发现BRAF、MEK、ERK抑制剂三管齐下比次序用药效果好,而且BRAF过度活跃只有在ERK功能被抑制时候才增加肿瘤细胞的增殖能力。这个发现一方面说明肿瘤对抗药物袭击的防守技术也
0评论2025-10-0120
只隔20天,肿瘤标志物CA125怎么就差了1倍多?
专家释疑四类人群每年至少做次检查肿瘤标志物指标升高,市民可能会到其他医院再做检查,结果发现两次指标虽然都正常,但差别挺大,这与检测方法有关。陶志华主任指出,某些常见疾病比如炎症发生时,肿瘤标志物指标也会升高,像急性肠胃炎患者,糖链抗原199会升高。肿瘤标志物解读6个指标甲胎蛋白(AFP)医生怀疑患者得肝癌时,会建议做这项检查。专家释疑炎症是指标升高的原因之一回答白百灵几个问题前,先要弄清糖链抗原125等的肿瘤标志物到底是什么。“只是一次结果发现某项肿瘤标志物指标升高,排除炎症等影响因素后,可以半个月或一个
0评论2025-09-3026
得了肿瘤能大量进补吗?
其实,肿瘤细胞是机体中疯狂的掠夺者,无论人体的营养状况如何,它们都会以其自身的生长特性强势攫取人体营养,如果营养不足,首先饿死的是正常组织,试图以减少营养来阻滞肿瘤生长的做法是错误的。武汉市中心医院肿瘤科王纯。另一种则是不吃或极少吃补品,他们担心进补后肿瘤细胞会摄取其中的大部分,反而生长更快。很多肿瘤病人最后死于脏腑功能的衰竭,都与失于营养密切相关。肿瘤患者服用补益品往往存在两种误区,一种是无限度补益。
0评论2025-09-2931